KEEP GOING
[MySQL] HackerRank : Binary Tree Nodes Solution 본문
반응형
https://www.hackerrank.com/challenges/binary-search-tree-1/problem
Binary Tree Nodes | HackerRank
Write a query to find the node type of BST ordered by the value of the node.
www.hackerrank.com
1. 틀린 코드
SELECT N
,(CASE WHEN P IS NULL THEN 'Root', # 문제1 다중 조건 처리시 ',' 사용 안함
WHEN N IN (SELECT P FROM BST) THEN 'Inner'
ELSE 'Leaf'
)END AS 'NAME' # 문제2 END 처리 후 소괄호 처리해야 함
FROM BST
ORDER BY N ASC
2. 정답인 코드 (서브쿼리 사용)
SELECT N
,(CASE WHEN P IS NULL THEN 'Root'
WHEN N IN (SELECT P FROM BST) THEN 'Inner'
ELSE 'Leaf'
END
)AS 'NAME'
FROM BST
ORDER BY N ASC
* 서브쿼리 사용시
WHEN N NOT IN (SELECT P FROM BST) THEN 'Leaf'
처리시 리프 노드에 Leaf 처리가 되지 않는 이유?
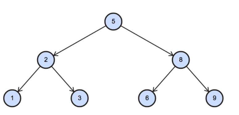
N이 리프노드가 되기 위해서는 2,5,8, Null (루트노드인 5의 부모가 Null 이므로)에 대해 모두 True를 반환해야 한다. 예를 들어 N이 1이라면 1!=2 1!=5 1!=8은 True 값을 반환한다. 하지만 1!=Null 의 경우 True도 False도 아닌 Unknown 값을 반환한다. 띠라서 P의 모든 값에 대해 True를 만족하지 못하므로 'Leaf' 값을 가지지 못하게 된다.
3. 정답인 코드 (LEFT JOIN 사용)
SELECT DISTINCT BST1.N
,(CASE WHEN BST1.P IS NULL THEN 'Root'
WHEN BST2.N IS NULL THEN 'Leaf'
ELSE 'Inner'
END)AS 'NAME'
FROM BST AS BST1
LEFT JOIN BST AS BST2 ON BST1.N = BST2.P
ORDER BY BST1.N
반응형
'code review > sql' 카테고리의 다른 글
[MySQL] HackerRank : Challenges Solution (0) | 2021.12.22 |
---|---|
[MySQL] HackerRank : The Report Solution (0) | 2021.12.22 |
[MySQL] HackerRank : Placements Solution (0) | 2021.12.21 |
[MySQL] HackerRank : Top Competitors Solution (0) | 2021.12.21 |
[MySQL] HackerRank : Weather Observation Station 11 Solution (0) | 2021.12.21 |
Comments